sa píšu pomocou ^ alebo \sp. Pokiaľ má byť v exponente viac než 1 znak alebo nie základné kontrolslovo, je nutné exponent uzavrieť do {}. Napr. $2^3, 2^{1991}$ dáva





sa píšu pomocou _ alebo \sb a platí pre ne všetko analogicky ako v predchádzajúcom prípade. Exponenty a indexy je možné písať v ľubovoľnom poradí, napr. $2^y_z$ i $2_z^y$ dáva v oboch prípadoch


Dolná i horná hranica pre operátory sa píše analogicky ako indexy a exponenty. Napr. $\sum_{i=1}^{i=10}x_i$ dáva

| \sum | ![]() | \prod | ![]() | \coprod | ![]() |
| \bigvee | ![]() | \bigcap | ![]() | \bigodot | ![]() |
| \bigwedge | ![]() | \bigcup | ![]() | \bigsqcup | ![]() |
| \biguplus | ![]() | \bigoplus | ![]() | \bigotimes | ![]() |
integrálmi
| \int | ![]() | \oint | ![]() | \iint | ![]() |
| \iiint | ![]() | \iiiint | ![]() | \idotsint | ![]() |
štandardnými matematickými funkciami (Pozri odsek nazvaný Štandardné matematické funkcie)


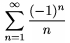
\nolimits spôsobuje, že tam, kde by sa hranice písali normálne nad i pod symbol, budú písané do riadku; \limits naopak spôsobuje, že hranice štandardne písané vpravo budú písané nad i pod symbol. Napr. $\sum\limits_{n=1}^\infty\frac{(-1)^n}n$ dáva

\NoLimitsOnSums spôsobuje, že vo všetkých centrovaných formulkách sa od napísania tohto kontrolslova budú hranice pri sume písať vpravo od tohto symbolu; \LimitsOnSums opäť zapína normálnu konvenciu písania hraníc pre sumu. Možno prepínať kdekoľvek v texte. \NoLimitsOnInts a \LimitsOnInts funguje analogicky pre integrály. Podobne fungujú tiež kontrolslová \LimitsOnNames a \NoLimitsOnNames pre operátory definované pomocou \operatornamewithlimits (vrátane \max,\min, ...).
Pokiaľ niektorá hranica je viacriadková, môžeme ju písať nasledovne: medzi \Sb...\\...\endSb umiestňujeme všetko, čo patrí pod operátor, jednotlivé riadky oddeľujeme pomocou \\; \Sp ...\\...\endSp je analógia pre hornú hranicu. Napr. $\sum \Sb 0<j<m\\0<i<n \endSb \Sp k= \infty\\ l= \infty \endSp$ dáva

TeX pridáva zvláštnu medzeru nad i pod sčítacie (integračné, ...) hranice. Toto je dôležité uvedomiť si pri používaní \left a \right. Tomuto pridávaniu miesta je možné zabrániť napísaním \shave hneď za \left. Kontrolslovo \topshave, resp. \botshave zabraňuje pridávaniu medzery hore, resp. dole. Veľkosť pridávaného miesta je možné tiež meniť pomocou \ChangeBuffer{vzdialenosť} -- táto hodnota zostane takto nastavená, pokiaľ ju opäť nepredefinujeme. Kontrolslovo \ResetBuffer nastaví veľkosť pridávaného miesta na štandardnú hodnotu. Napr. $\left(\frac{\dsize1+\sum_{i=1}^Na_i}{\dsize1+ \sum_{j=1}^{M}b_j}\right) \qquad \left(\frac{\dsize1+\botshave {\sum_{i=1}^N}a_i}{\dsize1+\topshave{\sum_{j=1} ^{M}b_j}} \right)$ dáva

píše sa pomocou ' (ale pozor, len v matematickom móde) alebo \prime. Pokiaľ chceme písať derivácie pomocou \prime, správne sa píše $f^\prime$, čo dáva



\sqrt{...} je znak pre druhú odmocninu, pokiaľ sa vzťahuje len na 1 znak, je možné zátvorky vynechať, napr. $\sqrt{a+\sqrt{1+d}+\sqrt z}+\sqrt y$ dáva

Pokiaľ by sme chceli mať všetky znaky odmocnín rovnakej veľkosti, použijeme \mathstrut ("mathstrut" je neviditeľný symbol, ktorého výška je rovná maximálnej výške písmen, pri ktorých je použitý). Napr. $\sqrt a +\sqrt d +\sqrt y+\sqrt {\mathstrut a} +\sqrt{\mathstrut d} +\sqrt{\mathstrut y}.$ dáva

Vyššie odmocniny môžeme písať pomocou \root<\uproot{číslo}\leftroot{číslo} ... \of {...}. Kontrolslová \uproot (pohyb odmocniteľa vo vertikálnom smere) a \leftroot (pohyb odmocniteľa v horizontálnom smere) sú nepovinné. Napr. $\root\uproot 3\leftroot{-2}\alpha+\beta \of{1+\frac ab}; \root\alpha+\beta\of{1+\frac ab}$ dáva

\bmod píše len slovo mod a nedodáva zátvorky okolo; napr. $\gcd(m,n)=\gcd(n,m\bmod n)$ dáva

\pmod píše slovo mod a dodáva okrúhle zátvorky okolo; napr. $x\equiv y+1\pmod{m^2}$ dáva

\mod rovnaké ako \pmod, ale nedodáva zátvorky; napr. $x\equiv y+1\mod{m^2}$ dáva

\pod dodáva samo zátvorky okolo, ale nepíše slovo mod; napr. $x\equiv y+1\pod{m^2}$ dáva

píšu sa pomocou \frac{...}{...}. Ak je čitateľ alebo menovateľ len 1 znak, je možné zátvorky vynechať. TeX automaticky upravuje veľkosť zlomkov podľa toho, či sú písané v texte alebo v centrovaných formulkách. Meniť tieto veľkosti je možné prepínaním "size" (viď size) (Pozri bližšie) Navyše \tfrac je skratka za \tsize\frac; \dfrac je skratka za \dsiz\frac.
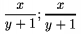
\thickfrac je zlomok s hrubšou zlomkovou čiarou. Napr. \dsize\frac x{y+1};\dsize\thickfrac x{y+1}$ dáva


Ak chceme urobiť zlomkovú čiaru dlhšiu, vsunieme napr. do čitateľa i menovateľa z obidvoch strán úzku medzeru veľkosti \,. Napr. $\frac ab=\dfrac{\,\frac ac\,}{\,\frac bc\,}$ čím dostávame

Ak potrebujeme nejaké zátvorky okolo zlomku, je výhodné použiť \fracwithdelims<ľav.zátv.><pr.zátv.>, napr. $\fracwithdelims(>12$ dáva


Pre reťazové zlomky sa používajú konštrukcie, ktoré sa líšia umiestnením výrazov v čitateli: \cfrac -- centrovanie, \lcfrac -- výrazy vľavo a \rcfraci -- výrazy vpravo; výrazy v menovateli sú vždy centrované; reťazový zlomok ako celok musí byť vždy ukončený s \endcfrac. Napr. $\cfrac 1\\ a_1+\cfrac 2\\ a_2+... +\cfrac n \\ a_n \endcfrac\qquad \lcfrac 1\\ a_1+\lcfrac 2\\ a_2+... +\lcfrac n \\ a_n \endcfrac\qquad \rcfrac 1\\ a_1+\rcfrac 2\\ a_2+... +\rcfrac n \\ a_n \endcfrac$ nám dáva

\binom{...}{...} píše binomické koeficienty, napr. $\binom{i-1}{j+1}$ dáva

\matrix ... \endmatrix slúži k písaniu matíc (bez zátvoriek). Jednotlivé riadky sa oddeľujú pomocou \\, jednotlivé položky v riadku pomocou &. (Pokiaľ by v niektorom riadku bolo menej položiek než v ostatných riadkoch, riadok je doplnený sprava medzerami). Medzi stĺpcami je štandardná vzdialenosť \quad, stĺpce sú centrované. Pokiaľ chceme maticu so zátvorkami, môžeme ju písať pomocou \left i \right, alebo použiť niektoré preddefinované typy matíc. Napr. $\left( \matrix 1+\beta & 0 & 1-\alpha \\ 1 & 2 & 3-\alpha \\ \alpha & 2 & 3 \endmatrix \right)$ dáva

\pmatrix ...\endpmatrix je matica ohraničená okrúhlymi

\bmatrix ... \endbmatrix je matica ohraničená hranatými
![$[\quad]$](img/kap4/img75.gif)
\vmatrix ...\endvmatrix je matica ohraničená kolmými čiarami (ako determinant).

\Vmatrix ...\endVmatrix je matica ohraničená dvoma zvislými čiarami (ako norma).

Ak chceme zmeniť úpravu matice (vzdialenosti medzi stĺpcami, centrovanie), je možné zvoliť si vlastnú úpravu matice, pomocou \format. Napr. $\left\{\matrix\format \c &\qquad \c &\qquad \r & \l \\ a+1 & xxxx & 11 & .13 \\ 1 & 8 & & .13 \\ & & 148 & \endmatrix\right\}$ dáva

Ak chceme zväčšiť vertikálnu vzdialenosť medzi riadkami matice, použijeme \spreadmatrixlines{<vzd>} pred \matrix. Vzťahuje sa na všetky matice použité v danom $$...$$. Kdekoľvek za \\ môžeme použiť \vspace{<vzd>}, čo zväčší vertikálnu vzdialenosť medzi riadkami iba na danom mieste.
Ak píšeme maticu do textu, veľkosť matice sa nezmenšuje automaticky. V tomto prípade je dobré použiť \smallmatrix ... \endsmallmatrix. Napr. $\left(\smallmatrix a & b \\ c+1 & d \endsmallmatrix\right)$ dáva

\hdots, \vdots, \ddots sú po rade vodorovné, zvislé a diagonálne bodky pre bodkovanie v maticiach, nepresahujúce príslušné hranice stĺpca alebo riadku. Ak chceme špecifikovať horizontálne bodky presahujúce cez stĺpce, môžeme použiť \hdotsfor<počet stĺpcov> pre bodky začínajúce v prvom stĺpci a \innerhdotsfor<počet stĺpcov> \after ... pre bodky začínajúce v ľubovoľnom inom stĺpci, kde namiesto ... sa udáva vzdialenosť začiatku bodiek od predchádzajúceho stĺpca. Napr. $\pmatrix a_1 & a_2 & \hdots & a_n \\ b_1 & b_2 & \hdots & b_n \\ \vdots & \vdots & \ddots & \vdots \\ d_1 & d_2 & \hdots & d_n \endpmatrix \qquad \pmatrix a_1 & a_2 & \hdots & a_n \\ b_1 & b_2 & \hdots & b_n \\ \hdotsfor 3& 2 \\ d_1 & \innerhdotsfor 2\after\quad & d_n \endpmatrix \qquad$ dáva

Vektory sa píšu pomocou \overrightarrow (alebo skrátene \overarrow), napr. \overarrow{x+y} dáva

| \overrightarrow{x+y} alebo tiež\overarrow | ![]() |
| \overleftarrow{x-y} | ![]() |
| a^{\overleftrightarrow{x+y}} | ![]() |
| \overline{x+y} | ![]() |
| \underrightarrow{x-y} alebo tiež \underarrow | ![]() |
| \underleftarrow{x+y} | ![]() |
| \underrightarrow{x+y} | ![]() |
| \underleftrightarrow{x+y} | ![]() |
| \underline{x+y} | ![]() |
Šípka sa najjednoduchšie píše pomocou \to, napr. $f\:X \to Y$ dáva

Zo základných šípiek sú navyše poskladané šípky, \dashrightarrow (alebo len \dasharrow), čo odpovedá


Ak chceme nad či pod jednoduchú šípku


Konštrukcia \underset ... \to{...} umiestňuje to, čo je za \underset, centrovane pod výraz, ktorý nasleduje za \to. Podobne je možné použiť tiež \overset ... \to{...}. Toto nie je možné použiť k umiestňovaniu výrazov pod i nad šípku vytvorenú s \to. Ak umiestňujeme niečo nad, či pod binárny operátor, bude sa to opäť správať ako binárny operátor (medzerovanie), ale výrazy nad, či pod by nemali byť príliš dlhé. Napr. $\overset\text{def}\to =$, resp. $\overset h\to{\underset A\to d}$ dáva


\oversetbrace... \to{...} je analogické ako predchádzajúce, navyše so svorkovými zátvorkami, podobne \undersetbrace ... \to{...} Napr. $\oversetbrace\text{$k$ times}\to{x +...+ x} \text{, resp.} \undersetbrace >\,0\to{x+y+z}$ dáva

Vodorovné svorky je tiež možné dosiahnuť pomocou \overbrace a \underbrace a prípadný text sa píše analogicky ako pri operátoroch s hranicami. Napr. $\overbrace{x+y+z}^{k\text{-times}}_{<5}$ napíše

Komutatívne diagramy sa vytvárajú pomocou \CD a \endCD. Medzi týmito symbolmi sa vytvárajú horizontálne šípky spôsobom popísaným v predchádzajúcej časti. Vertikálne šípky sa vytvárajú analogicky, ale používajú sa znaky @VVV pre šípky dole a @AAA pre šípky hore. Symbol \\ sa používa k oddeľovaniu riadkov, alebo k vloženiu prázdneho riadku. Napr. $\CD G@>\alpha>> H\\ @VfVV @AAgA \\G'@<<\beta< H'\endCD$ dáva


Je možné tiež použiť @=, resp. @| pre dlhé vodorovné, resp. zvislé znamienko =.
\minCDarrowwidth<vzd>uvedené pred diagramom (vo vnútri $$...$$) zmení dĺžky šípiek v diagrame na uvedený rozmer; dlhšie budú len v prípade, že text uvedený nad či pod nimi bude dlhší než uvedený rozmer. V tomto prípade však nebudú všetky šípky v príslušnom stĺpci upravené na rovnakú dĺžku: \pretend ...\haswidth ... umožňuje nastaviť dĺžku šípky podľa dĺžky textu. Napr. $\define \bottomarrow{@<<\pretend\beta \haswidth{ \text{ Clifford multiplication}}<} \CD G @>\text{Clifford multiplication}>>H \\ @VfVV @AAgA \\G'\bottomarrow H'\\@|@.\\ G*@=H*\endCD dáva

Ak chceme, aby TeX dosadil správnu veľkosť zátvoriek okolo výrazu, použijeme \left a \right s presným udaním druhu zátvoriek. Napr. $\left( \dfrac xy\right]$ dáva
![$\left( \dfrac xy\right]$](img/kap4/img103.gif)
![]() | ( | ![]() | ) | ![]() | }, \rbrace |
![]() | {, \lbrace | ![]() | |, \vert | ![]() | |, \Vert |
![]() | ], \rbrack | ![]() | [, \lbrack | ![]() | \rfloor |
![]() | \lfloor | ![]() | \rceil | ![]() | \lceil |
![]() | \langle | ![]() | \rangle | ||
![]() | / | ![]() | \backslash | ![]() | \uparrow |
![]() | \Uparrow | ![]() | \downarrow | ![]() | \Downarrow |
![]() | \updownarrow | ![]() | \Updownarrow |
\left i \right sú párové, preto ak nechceme jednu zo zátvoriek uviesť, treba uviesť bodku namiesto tejto zátvorky. Napr. $\left\{ \dfrac xy \right.$ dáva

Podľa \left i \right sa určuje i medzerovanie okolo. Pretože znaky [ a ] berie TeX ako znaky nie ako zátvorky, kvôli správnemu medzerovaniu je nutné tieto znaky písať s \left i \right i v základnej veľkosti. Analogicky i pri

Zväčšovanie pomocou \left i \right poskytuje ľubovoľne veľké symboly.
\left <je skratka za \left \langle, \right>je skratka za \right\rangle.
Niekedy sa ovšem stane, že zátvorka (oddeľovač), ktorú TeX sám vyberie je väčšia (menšia), ako by sme my chceli. V tom prípade máme možnosť explicitne špecifikovať veľkosť zátvorky (oddeľovača) v preddefinovaných veľkostiach: \big, \Big (asi 1,5 krát väčšie ako \big), \bigg a \Bigg (asi 2,5 krát väčšie ako \bigg). Napr. $\left(\sum^k_{i=1}x_i\right), \biggl(\sum^k_{i=1}x_i\biggr)$ dáva


Uvedené sa vzťahuje aj na nasledujúce špeciálne oddeľovače, ktoré sa používajú len s \left ...\right alebo s udaním presnej veľkosti pomocou \big, ....
![]() | \big\arrowvert | ![]() | \big\Arrowvert | ![]() | \big\bracevert |
![]() | \Big\lgroup | ![]() | \Big\rgroup | ![]() | \big\s lmoustache |
![]() | \big\rmoustache |
