\tag slúži k označovaniu centrovaných formuliek a označí formulku všetkým, čo je medzi \tag a $$; zátvorky sa dopĺňajú automaticky.
Kontrolslová \TagsOnLeft a \TagsOnRight sa používajú na zmenu umiestňovania "tagov" na ľavý alebo pravý okraj textu. Prepínať možno kdekoľvek v texte vždy s platnosťou na príslušné časti textu.
Štandardne sa s obsahom "tagu" zaobchádza ako s normálnym textom, \TagsAsMath spôsobí, že sa s obsahom "tagu" bude zaobchádzať ako s matematickým textom. (\TagsAsText prepína opäť pôvodný textový význam "tagu".)
Ak chceme formulku označiť netradične (t.j. napr. bez automaticky dopĺňaných zátvoriek), použijeme \tag"..." (analogicky ako \item a \footnote).
Ak sa chceme v texte odvolávať na tagované formulky, je vhodné použiť \thetag{}. Odvolávka bude mať potom vždy rovnaký tvar -- typ písma, zátvorky, ....
Pokiaľ potrebujeme vysádzať formulky do viacerých riadkov pod seba, možnosti v rámci $$...$$ okolia sú nasledujúce.
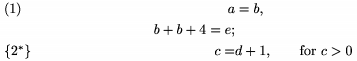
\align ... \endalign slúži k zarovnaniu formúl pod sebou na jednom mieste: jednotlivé formulky sú oddelené \\ a miesta riadku, v ktorých je umiestnený znak & sa zarovnajú pod sebou. Každá formulka môže mať vlastný \tag. V takomto bloku je štandardne zakázaný prechod na novú stránku. Napr. $$\align a&=b,\tag1\\b+b+4=e;\\c=& d+1, \qquad\text{for $c>0$}\tag"$\{2^*\}$" \endalign$$ dáva

Ak chceme napr. v predchádzujúcom príklade očíslovať niektoré formulky (riadky matem. textu) jedným spoločným číslom, je vhodné použiť \split ...\endsplit konštrukciu. Táto konštrukcia zabezpečuje štandardne umiestnené očíslovanie: ak sa čísluje vľavo -- čísluje prvý riadok formulky, ak vpravo -- posledný. Ináč pre túto konštrukciu platí všetko, čo bolo uvedené v časti \align, ale \tag môže byť len jeden a to za \endsplit. Okrem toho použitím kontrolslova \CenteredTagsOnSplits je možné centrovať "tagy" u takto číslovaných formúl. Napísaním \TopOrBottomTagsOnSplits dostávame opäť pôvodné umiestňovanie "tagov". (Ak chceme centrovať "tag" len u jednej formulky, je jednoduchšie ju písať pomocou \aligned.) Napr. $$\split a&=b,\\c=& d+1,\qquad\text{for $c>0$,} \endsplit\tag1--2$$ dáva


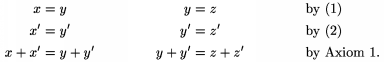
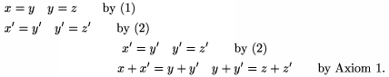
Ak potrebujeme zarovnať matematický text v riadku na viac než jednom mieste, použijeme \alignat{číslo} ... \endalignat, kde číslo udáva počet miest, na koľkých chceme matematický text zarovnať. (Ak je číslo jednociferné, nemusí byť uvedené v {}.) Znak & slúži teraz nielen k označeniu miest, ktoré majú byť zarovnané pod sebou, ale i k oddeleniu jednotlivých častí riadkov. Pre \alignat ináč platí všetko ako pre \align. Ak je riadok dlhý, môže byť \tag prekrytý formulkou bez hlásenia (Pozri odsek nazvaný TeX necháva časť textu presahovať za pravý okraj v Kapitola 3) Napr. $$\alignat3 x&=y &\quad y&=z&&\qquad\text{by (1)}\\ x'&=y' &\quad y'&=z'&&\qquad\text{by (2)}\\x+x'&=y+y' &\quad y+y'&=z+z' &&\qquad\text{by Axiom~1.} \endalignat$$ dáva

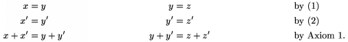
\xalignat{číslo} ... \endxalignat analógia \alignat s tým, že netreba špecifikovať medzery medzi jednotlivými časťami riadku. TeX sám roztiahne matematický text špecifikovaný riadkom na celú šírku stránky (pričom vynecháva štandardne veľké miesto aj na oboch okrajoch) a zarovná určené miesta pod sebou. Napr. $$\xalignat3 x&=y & y&=z&& \text{by (1)}\\ x'&=y' & y'&=z'&&\text{by (2)}\\ x+x'&=y+y' & y+y'&=z+z' && \text{by Axiom 1.} \endxalignat$$ dáva

\xxalignat{číslo}...\endxxalignat je rovnaké ako \xalignat, ale nenecháva miesto na okrajoch. V tejto konštrukcii nie je dovolené použitie \tag. Napr. $$\xxalignat3 x&=y & y&=z&&\text{by (1)}\\ x'&=y' & y'&=z'&& \text{by (2)}\\x+x'&=y+y' & y+y'&=z+z'&&\text{by Axiom 1.} \endxxalignat$$ dáva

\aligned...\endaligned umožňuje vytvárať zarovnané bloky i vedľa seba. \tag je povolený len jeden a to na koniec. Napr. $$\left.\aligned a&=b\\c&=d+1 \endaligned\qquad\right\}\qquad\Longrightarrow a+b=c+d+1\tag4$$ dáva


\alignedat je to isté ako \alignat, ale tvorí samostanú jednotku. Používa sa rovnako ako \aligned. Napr. $$\left. \alignedat2 a&=b&\quad 1+1&=2\\c&=d+1& \quad2+2&=4\endalignedat\qquad\right\}\qquad\Longrightarrow a+b=c+d+1 \tag4$$ dáva

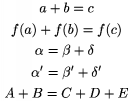
\gather ...\endgather umožňuje písanie centrovaných formúl pod seba bez zarovnávania. Riadky sú oddeľované \\, v žiadnom riadku sa nesmie objaviť &, každá formulka je centrovaná zvlášť a môže mať \tag. Medzery medzi riadkami sú menšie ako pri opakovanom použití $$...$$. Napr. $$\gather a+b=c\\ f(a)+f(b)=f(c)\\ {\align\alpha&=\beta +\delta \\ \alpha '&=\beta '+\delta '\endalign}\\ A+B=C+D+E\endgather$$ dáva

\gathered ...\endgathered je rovnaké ako \aligned, t.j. písanie viacerých blokov vedľa seba, pričom riadky v každom bloku sú centrované voči tomuto bloku. Môže mať jeden \tag, ktorý sa píše za \endgathered. Napr. $$\left.\gathered a = b\\c =d+1\endgathered\qquad \right\}\qquad\Longrightarrow a+b=c+d+1\tag4$$ dáva

\multline ...\endmultline umožňuje delenie formúl tak, že prvý riadok sa posunie čo najviac doľava (v štýle amsppt.sty vynechané miesto \quad od ľavého okraja), posledný čo najviac doprava a medzitým je všetko centrované. Okrem toho je možné ktorýkoľvek riadok posunúť doľava (zarovnať s prvým) alebo doprava (zarovnať s posledným) pomocou \shoveleft{...} a \shoveright{...}. Tiež je možné meniť vzdialenosť odsadenia prvej a poslednej formulky od okrajov textu pomocou \multlinegap{<vzd>} uvedeného pred \multline. \MultlineGap{<vzd>} umožňuje nastaviť túto hodnotu ako pre celý dokument. Napr. $$\multlinegap{1truecm} \multline x=y \quad y=z \qquad \text{by (1)}\\ \shoveleft{x'=y' \quad y'=z'\qquad\text{by (2)}}\\ x'=y' \quad y' =z'\qquad\text{by (2)}\\ x+x'=y+y' \quad y+y'=z+z'\qquad \text{by Axiom 1.} \endmultline$$ dáva

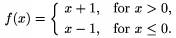
\cases ...\endcases umožňuje vetvenie, napr. $f(x)=\cases x+1,&\text{for $x>0$,} \\x-1,&\text{for $x\le0$.}\endcases$

\vspace{<vzd>} je možné použiť v akejkoľvek horeuvedenej konštrukcii za \\a priestor uvedenej veľkosti bude vertikálne vynechaný.
\spreadlines{<vzd>} uvedené hneď za $$ spôsobí, že uvedená vzdialenosť bude vkladaná za každou formulkou v $$...$$ okolí.
\displaybreak (\allowdisplaybreak) prikazuje (umožňuje) prechod na novú stránku za \\ v ľubovoľnej zo spomínaných konštrukcií, okrem \aligned.
\allowdisplaybreaks napísané pred \align je rovnaké ako \allowdisplaybreak písané za každým riadkom konštrukcie \align...\endalign. (V tejto konštrukcii je štandardne zakázaný prechod na novú stranu.)
\intertext{...} umožňuje napísať riadky textu medzi centrované formulky v rámci $$...$$ okolia. V {} sa špecifikuje nový odstavec pomocou \endgraf, \par ani prázdny riadok sa tam nemôžu objaviť. Text začína vždy neodsadene vľavo. Nie je možné používať vo vnútri \aligned a \endaligned.
Na záver ešte dva príklady jednoduchých tabuliek v plain TeXu (bez komentárov). Skúsenejší čitateľ ich ľahko zmodifikuje pre svoju potrebu. \settabs 5 \columns \+\dotfill & \hfill Brno\qquad& \bf Praha&& \v CR\cr \+\hfil Bratislava& \hfill Nitra\qquad& \hrulefill&& SR\cr \+\hfil --- & \hfill Ontario\qquad& \it Alberta && USA \cr dáva

